首页
开户交易
终端下载
App下载
电脑端下载
每日分析
财经日历
交易学堂
贵金属投资
黄金投资
伦敦金投资
关于我们
用户中心
美建金业APP
点击下载
当前位置:
首页
>
合约细则
>
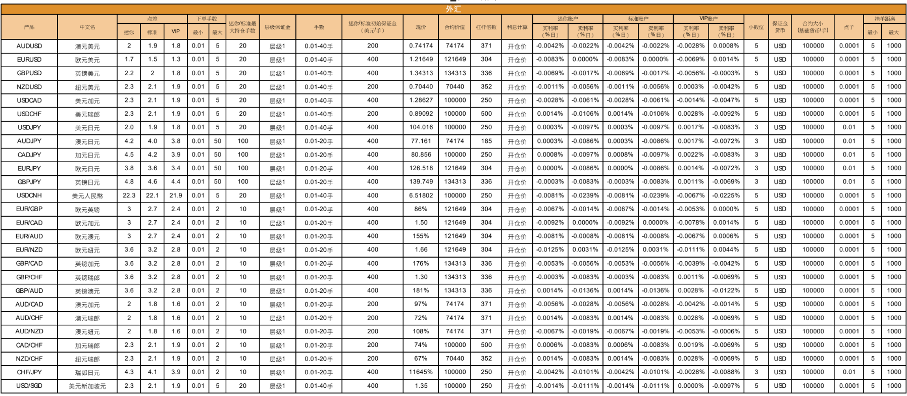
外汇
分类
商品
指数
股票
外汇
数字货币
外汇
×
美建金业APP
点击下载
APP下载
在线开户
在线客服